• Skip to main content
  • Skip to primary sidebar
  • Skip to footer
  • Menu ItemTopbots logo
  • Topics
    • Computer Vision
    • Conversational AI
    • Infrastructure
    • Natural Language Processing
    • HR & Recruiting
    • Marketing
    • Research Summaries
    • Technical Guides
    • Applied AI
  • AI Research
  • Login
TOPBOTS Logo

TOPBOTS

The Best of Applied Artificial Intelligence, Machine Learning, Automation, Bots, Chatbots

Dice_coefficient_300px_web

May 1, 2019 by Kate Koidan

semantic segmentation

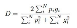
Dice coefficient

Reader Interactions

Leave a Reply

You must be logged in to post a comment.

Primary Sidebar

Learn Applied AI

We create and source the best content about applied artificial intelligence for business. Be the FIRST to understand and apply technical breakthroughs to your enterprise.

  • This field is for validation purposes and should be left unchanged.

Follow us

  • facebook
  • twitter
  • youtube

POPULAR ARTICLES

Beyond DeepSeek: An Overview of Chinese AI Tigers and Their Cutting-Edge Innovations

Advancing AI in 2024: Highlights from 10 Groundbreaking Research Papers

Semiconductor Titans: Inside the World of AI Chip Manufacturing and Design

10 Integral Steps in LLM Application Development

Announcing the 2nd Edition of “Applied Artificial Intelligence: A Handbook For Business Leaders”

Top 10 Influential AI Research Papers in 2023 from Google, Meta, Microsoft, and More

More Articles

Topics

  • Bots

  • Brands

  • Business

  • China

  • Commerce

  • Computer Vision

  • Conversational AI

  • Customer Service

  • Cybersecurity

  • Data Science & Engineering

  • Design

  • Education

  • Ethics & Safety

  • Finance

  • Gaming

  • Healthcare

  • HR & Recruiting

  • Infrastructure

  • Leadership & Management

  • Manufacturing

  • Marketing

  • Natural Language Processing

  • Reinforcement Learning

  • Research

  • Retail & CPG

  • Society

  • Technical Guide

  • Technology

Footer

About TOPBOTS

  • Expert Contributors
  • Terms of Service & Privacy Policy
  • Contact TOPBOTS

Copyright © 2025 TOPBOTS

Stay Updated on AI for Business

semantic segmentation

Subscribe to our biweekly newsletter for the latest in applied AI, cutting-edge research updates, funding deals, and promising AI startups.